Ruckig 0.19.2
Motion Generation for Robots and Machines
Loading...
Searching...
No Matches
(16) Speed Control
  • C++
    // Only with Ruckig Pro
    #include "plotter.hpp"
    using namespace ruckig;
    int main() {
    // Create instances: the Ruckig trajectory generator as well as input and output parameters
    Ruckig<3> ruckig(0.01); // control cycle
    // Set input parameters
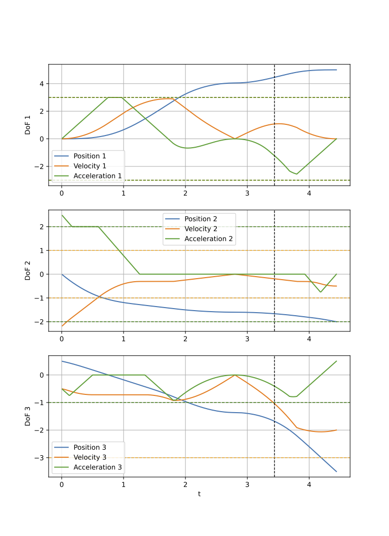
    input.current_position = {0.0, 0.0, 0.5};
    input.current_velocity = {0.0, -2.2, -0.5};
    input.current_acceleration = {0.0, 2.5, -0.5};
    input.target_position = {5.0, -2.0, -3.5};
    input.target_velocity = {0.0, -0.5, -2.0};
    input.target_acceleration = {0.0, 0.0, 0.5};
    input.max_velocity = {3.0, 1.0, 3.0};
    input.max_acceleration = {3.0, 2.0, 1.0};
    input.max_jerk = {4.0, 3.0, 2.0};
    // We want to break to a paused state and re-accelerate to the normal trajectory
    // using Ruckig's speed control feature.
    // In this example, we have the four phases: 1. start, 2. brake, 3. accelerate, 4. end.
    std::string phase = "start";
    const double speed_change_duration = 1.0; // [s]
    double time = 0.0;
    // Generate the trajectory within the control loop
    std::cout << "t | t_traj | position" << std::endl;
    std::cout << std::fixed << std::setprecision(2);
    Result result = Result::Working;
    while (result == Result::Working || result == Result::Paused) {
    result = ruckig.update(input, output);
    // The out.time parameter denotes the time on the trajectory,
    // which is not the same as the time in the control loop as soon as the speed is not 1.0.
    time += ruckig.delta_time;
    std::cout << time << " | " << output.time << " | " << pretty_print(output.new_position) << std::endl;
    if (output.time > 1.8 && phase == "start") {
    phase = "brake";
    }
    if (result == Result::Paused && phase == "brake") {
    phase = "accel";
    }
    if (phase == "accel" && ruckig.speed >= 1.0) {
    phase = "end";
    }
    if (phase == "brake") {
    ruckig.speed = std::max(ruckig.speed - ruckig.delta_time / speed_change_duration, 0.0);
    } else if (phase == "accel") {
    ruckig.speed = std::min(ruckig.speed + ruckig.delta_time / speed_change_duration, 1.0);
    }
    output.pass_to_input(input);
    }
    std::cout << "Trajectory duration: " << output.trajectory.get_duration() << " [s]." << std::endl;
    }
    Main interface for the Ruckig algorithm.
    Definition ruckig.hpp:28
    Definition block.hpp:17
    Result
    Result type of methods calculating trajectories (e.g. Ruckig's and Trackig's update and calculate)
    Definition result.hpp:7
  • Python
    # Only with Ruckig Pro
    from copy import copy
    from ruckig import InputParameter, OutputParameter, Result, Ruckig
    if __name__ == '__main__':
    # Create instances: Ruckig as well as input and output parameters
    ruckig = Ruckig(3, 0.01) # DoFs, control cycle
    inp = InputParameter(3)
    out = OutputParameter(3)
    # Set input parameters
    inp.current_position = [0.0, 0.0, 0.5]
    inp.current_velocity = [0.0, -2.2, -0.5]
    inp.current_acceleration = [0.0, 2.5, -0.5]
    inp.target_position = [5.0, -2.0, -3.5]
    inp.target_velocity = [0.0, -0.5, -2.0]
    inp.target_acceleration = [0.0, 0.0, 0.5]
    inp.max_velocity = [3.0, 1.0, 3.0]
    inp.max_acceleration = [3.0, 2.0, 1.0]
    inp.max_jerk = [4.0, 3.0, 2.0]
    # We want to break to a paused state and re-accelerate to the normal trajectory
    # using Ruckig's speed control feature.
    # In this example, we have the four phases: 1. start, 2. brake, 3. accelerate, 4. end.
    phase = 'start'
    speed_change_duration = 1.0 # [s]
    print('\t'.join(['t', 't_traj'] + [str(i) for i in range(ruckig.degrees_of_freedom)]))
    # Generate the trajectory within the control loop
    first_output, times, out_list = None, [], []
    res = Result.Working
    while res == Result.Working or res == Result.Paused:
    res = ruckig.update(inp, out)
    if out.time > 1.8 and phase == 'start':
    phase = 'brake'
    if res == Result.Paused and phase == 'brake':
    phase = 'accel'
    if phase == 'accel' and ruckig.speed >= 1.0:
    phase = 'end'
    if phase == 'brake':
    ruckig.speed = max(ruckig.speed - ruckig.delta_time / speed_change_duration, 0.0)
    if phase == 'accel':
    ruckig.speed = min(ruckig.speed + ruckig.delta_time / speed_change_duration, 1.0)
    # The out.time parameter denotes the time on the trajectory,
    # which is not the same as the time in the control loop as soon as the speed is not 1.0.
    time = (times[-1] if times else 0.0) + ruckig.delta_time
    print('\t'.join([f'{time:0.3f}', f'{out.time:0.3f}'] + [f'{p:0.3f}' for p in out.new_position]))
    times.append(time)
    out_list.append(copy(out))
    out.pass_to_input(inp)
    if not first_output:
    first_output = copy(out)
    print(f'Calculation duration: {first_output.calculation_duration:0.1f} [µs]')
    print(f'Trajectory duration: {first_output.trajectory.duration:0.4f} [s]')
    # Plot the trajectory
    # from pathlib import Path
    # from plotter import Plotter
    # examples_path = Path(__file__).parent.absolute()
    # Plotter.plot_trajectory(examples_path / '16_trajectory.pdf', ruckig, inp, out_list, plot_jerk=False, times=times)

Output Trajectory